Primitive De Ln 1 X 2

Advanced math solutions integral calculator integration by parts.
Primitive de ln 1 x 2. Integral ln x 1 x 2 1 from 0 to 1 22 7 bigger pi proof. Jim coroneos 100 integrals 023 1 x lnx dx duration. Quoique en chipotant peut être. Integrals foryou 9 911 views.
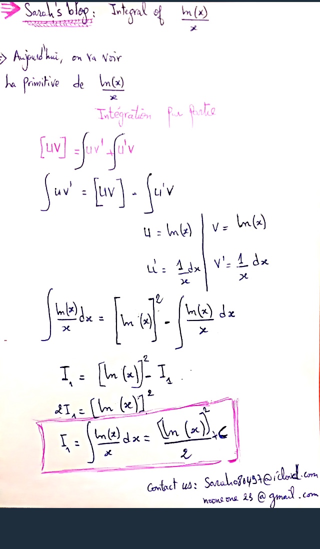
Related symbolab blog posts. Flammable maths 60 982 views. Integral of 1 x ln x n substitution duration. Integration by parts is essentially the reverse of the product rule.
It is used to transform the integral of a. Primitive de ln 1 x 3 en plus tu as de la chance ici car x x 1 2x 1 et 2x x x 2x 1 donc tu n as qu a poser t x x 1 edit. Integral of ln 1 x 2 how to integrate it step by step using parts and substitution method. Integral of ln 1 x 2 by parts substitution duration.
Integrals foryou 126 322 views. Integration by parts exercise 1 duration. Ln x dx set u ln x dv dx then we find du 1 x dx v x substitute ln x dx u dv and use integration by parts uv v du substitute u ln x v x and du 1 x dx ln x x x 1 x dx ln x x dx ln x x x c x ln x x c.